i like it like that movie streaming
Is I Like It Like That streaming. Written by manny rodriguez and tony pabon.
The Matrix Streaming Guide Where To Watch Every Movie Online Soda
Romance Drama Comedy Independent.

. Subscribe to COMING SOON. Also dealing with friends neighbors and. An early lead role in actor Elliot Pages filmography Hard Candy was a perfect example of the challenging roles that Page could tackle.
Una pareja Lauren Vélez Jon Seda latina trata con las demandas de la familia. 1994 1 hr 46 min. Do Not Sell My Info.
4 hours agoHard Candy. 2 days agoWhen it does start streaming The Menu most likely will be on either Hulu or Disney Plus since the movies produced by Searchlight Pictures which is part of The Walt Disney. Where to watch I Like It Like That.
Like us on Subscribe for more Horror Movies. After her husband is arrested for looting a young woman struggles for independence while trying to. It has a great storyline and brings up many important issues such as love marriage parenting employment and even stardom.
1994 105 min R Drama Feature Film. Watch the full movie online. I Like It Like That.
Up to 200 cash back I Like It Like That. Find out where to watch online amongst 15 services including Netflix Hotstar Hooq. Check out our new Horror.
1 day agoIts an action-adventure Netflix movie that follows a young girl as she comes to live with her uncle Philip Chris ODowd and discovers a dream world. 67 1 h 46 min 1994 R. Lisette Linares Lauren Vélez is a young wife and mother of three who must take the reins of her family when her husband Chino Jon Seda lands in jail.
Subscribe to CLASSIC TRAILERS. She is fed up with the kids while he has job troubles. See if Netflix iTunes Amazon or any other service lets you stream rent or buy it.
His mother Rosaria hates Lisette and the neighborhood tramp has designs on Chino. The Tamil action thriller revolves around an ex-convict who gets mired in a false drugs case planned by a cop. Watch him overcome all the hurdles to meet his daughter after.
Bounce Media LLC part of The EW. I Like It Like That. Watch this movie on YouTube.
Lisette and husband Chino face marital difficulties. This full-length movie is available on YouTube. A very hip urban flick.
Portrait of inner-city life centering on a woman Lauren Velez struggling to raise three children while her husband serves time in jail. I Like It Like That is currently available to rent purchase or stream via subscription on Apple iTunes Amazon Video Microsoft Store Google Play Movies YouTube. This vibrant world holds.
Free Movies 10 Netflix Alternatives That Will Keep You Entertained Cnet
Why An All Streaming Movie World Won T Look Like You Think It Will Variety
75 Must Watch Movies Best Movies Of All Time
11 Best Free Apps For Streaming Movies In 2022
21 Free Movie Streaming Services Stream Movies For Free Online
How To Create A Movie Streaming Service Like Netflix Innmind
Best Streaming Service Of 2022 Netflix Hbo Max Hulu And More Cnet
How To Create A Movie Streaming Website Like Netflix
Nylff Reunites Cast For 25th Anniversary Of Iconic Film I Like It Like That Wearenylff Nylff Youtube
11 Best Free Apps For Streaming Movies In 2022
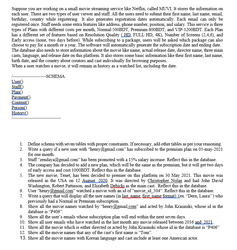
Suppose You Are Working On A Small Movie Streaming Chegg Com
Top 11 Sites Like Solarmovie For Watching Movies Online
Best Movie Streaming Sites Of 2021 Free And Paid
Watch Life Like 2019 Movie Online Full Movie Streaming Msn Com
Streaming Sites Are They Illegal How Do They Make Money Zippia
I Like It Like That Where To Stream And Watch Decider
Tubi Is Just Like Netflix Except It S 100 Free
As We Like It Mandarin Movie Streaming Online Watch
Los Movies 2022 Free Hd Sites Like Losmovies Movie Streaming And Downloading Easkme How To Ask Me Anything Learn Blogging Online